Letitia James - No One Is Above The Law, Except Me
NY Attorney General took in hundreds of thousands of dollars in illegal campaign contributions.
NOTE: While this post is available to all, in order to give you a sample of the content to expect here on Stone Cold Truth, in the coming days, most of the controversial and groundbreaking content here will require a paid subscription, which supports my journalistic efforts.
Last week Leticia James very publicly announced that “nobody is above the law”. She posted a video of it on Twitter. The subject of the video was the attack of President Donald J. Trump related to her ongoing sham legal proceeding that has been ongoing in New York.
Letitia James’ social media screed was the same type of rhetoric that all the Democrats spout when they speak to the fake news media exhibiting textbook psychological projection.
Letitia James is just another communist following the Saul Alinsky playbook. In his well-known book Rules for Radicals (a book he dedicated to Lucifer), Alinsky instructs followers to “accuse your opponent of what you are doing, to create confusion and to inculcate voters against evidence of your own guilt.”
We are seeing these same patterns in the Alvin Bragg case in New York, the Fani Willis RICO case in Georgia, and the Jack Smith Federal RICO Case.
Coincidentally, every single one of these sham prosecutions involves individuals who have themselves been beneficiaries of a massive ongoing election fraud, money laundering RICO enterprise.
Leticia James, Alvin Bragg, and Fani Willis all have benefited financially due to the illegal ActBlue money laundering election fraud RICO conspiracy. I have previously discussed this in great detail and how it spans every election and every race at the federal, state and local levels.
We have come to know that many of these illegal campaign finance contributions are being made in the names of unwitting senior citizens across America. In some cases these campaign finance contributions are being made using pre-paid credit cards created in the names of these unwitting senior citizens.
Last week we were made aware of a case that a lifelong liberal democrat supporter was the victim of a multi years long credit card and illegal campaign finance contribution fraud scheme at the hands of ActBlue.
The name of this victim was George Yourke. He was a New York City resident and self-proclaimed “solid democrat”.
Letitia James, Alvin Bragg, and the Federal Election Commission purposefully and willfully looked the other way when George Yourke filed several fraud complaints against ActBlue and UBS Financial Services.
George Yourke explicitly told ActBlue to stop charging his credit card beginning in 2018.
Their illicit and fraudulent scheme continued unabated for years. However, in April of 2021 Mr. Yourke had had enough of the fraudulent ActBlue scheme. He told the Federal Elections Commission in a letter dated April 16, 2021 that initially he was okay with the fraud “as the cheating was for the Democratic Party, I let it go.”
However, the billings to unknown parties, (campaign contributions to candidates that he did not authorize to be charged for CREDIT CARD FARUD, campaign contributions made in his name to candidates he did not make ILLEGAL CAMPAIGN FINANCE CONTRIBUTIONS), are actual crimes.
Then Mr. Yourke also explained how he was being double billed for the same transactions on the same day sequentially.
George Yourke, was okay with the cheating initially, because it benefitted the democrat party. But as time passed the fraud increased as did the unauthorized campaign finance contributions made to campaigns in his name without his permission.
How many transactions did it take for George to reach his tipping point?
According to the FEC data reported between the date that he first told ActBlue to stop charging his card and he rescinded March 2018 to May 2018 the magic number was 9,140 TIMES…
One would think that such a complaint would raise some flags. Did it? No, it did not. In fact, it continued and even accelerated.
George contacted UBS Financial Services…To STOP the ActBlue credit card fraud and illegal campaign finance contributions being made in his name. He was very upset that he was being charged multiple times a day for campaign finance contributions to PACs and candidates that he did not authorize.
He wanted to stop the double billings by ActBlue and the unauthorized campaign finance contributions to PACs and candidates that he never authorized or willingly made.
George was clearly upset after years of fraudulent charges and illegal campaign finance contributions being made in his name. George went so far as to even change his credit card # to stop the fraudulent charges and illegal campaign finance contributions.
As you can see above George Yourke filed complaints with UBS FINANCIAL SERVICES, New York State Attorney General Letitia James, Manhattan District Attorney Alvin Bragg, the FEC - Federal Elections Commission, his congressman Jerry Nadler, his Senators Chuck Schumer and Kristen Gillibrand.
What happened? Did it stop?
Did Letitia James do anything about it? Did she stop the credit card fraud and illegal campaign finance contributions that she personally benefited from?
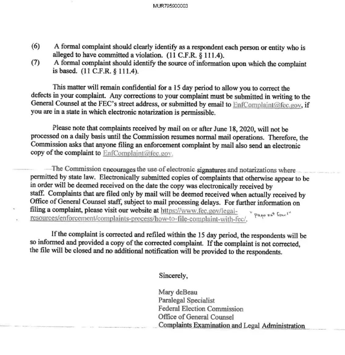
What did the FEC do?
They told him that he needed to correct his complaint…
Which he did after the allotted 15 day time period due to the holiday season.
What was the result? ActBlue falsely claimed that there were no charges without his authorization…
Referring back to George Yourke’s first letter to ActBlue in 2018 we can see that the statement filed by ActBlue is categorically false.
What did the FEC – Federal Elections Commission decide?
After all of this…Did ActBlue stop the credit card fraud and making illegal campaign finance contributions in George Yourke’s name?
Yes, ActBlue finally did stop the credit card fraud and making illegal campaign finance contributions in George Yourke’s name on November 3, 2022.
What did it take to stop the ActBlue fraud?
George Yourke’s death. ActBlue continued to illegally charge George Yourke’s new credit card and make illegal campaign finance contributions to PACs and candidates in his name right up to the day George died.
How did all this start?
By making a single campaign finance contribution via ActBlue on March 30, 2012.
Is ActBlue above the law? It clearly seems that way. Did they commit credit card fraud? Did they make illegal campaign finance contributions in the name of unwitting senior citizens?
When the complaints to UBS Financial Services, New York State Attorney General Letitia James, Manhattan District Attorney Alvin Bragg, and the FEC- Federal Elections Commission in 2021 yielded no results we have to ask why. How did this continue?
Like any vexing issue if you just follow the money, you will more than likely find out the real truth.
Who were/are the beneficiaries of this fraudulent scheme? None other than Letitia James.
When looking at New York State Letitia James’ campaign finance report you can see that she raised a great deal of money from a large number of people, PACs and organizations.
The following list was extracted from data directly obtained from the New York State Campaign finance database. We can see that there are a large number of individuals who were making a large number of campaign finance contributions to her campaign.
When we look at how these contributions are being made you have to ask does this make sense. Is this behavior that your typical senior citizen exhibits?
My friend Chris Gleason has really done some amazing work in this field. He is a brilliant technology expert who has been working on exposing this ongoing ActBlue money laundering RICO enterprise. The following data is based on his analysis of the Leticia James contributors list compared to their nationwide campaign finance contribution patterns contained in the Federal Election Commission database. His work is the basis for all of the recent James O’Keefe ActBlue videos.
As you can see below, the sheer number of individual campaign finance contributions is nothing like anyone is humanly possible of making on their own. The vast majority of these contributions are reflected in the names of senior citizens like George Yourke according to the FEC data. Moreover, these “ActBlue Contributors” are not the typical ultra wealthy political donor. These are your average everyday senior citizens on fixed incomes living in your average American home.
When we look at Letitia James campaign contributors based on a total dollar amount of contributions across America, we also glean some very interesting information. Here is where you can see the total dollars contributed by the ultra-wealthy.
Referring back to Letitia James list of high-volume contributors and looking at the FEC data can you see a pattern?
When evaluating these reports we can clearly see behaviors that cannot be explained away. How could UBS Financial Services not see this in their KYC/AML reports?
How can the FEC possibly claim that this is remotely not a major issue warranting further investigation?
Letitia James definitely has an extremely clear vested interest in the continuation of this massive ongoing money laundering RICO enterprise. This network is where the vast majority of her campaign finance funds derive from.
However, she is not alone. This same pattern of illegal money laundering, identity theft, campaign finance violations and credit card fraud also involve none other than…
The esteemed Manhattan District Attorney Alvin Bragg…
The Fulton County Georgia expert on RICO enterprises, Fani Willis…
The esteemed Senator from New York Chuck Schumer… Who also claims that no one is above the law and was included on the George Yourke complaint.
He also has a high number of high-volume campaign contributors?
When we check these names against the total FEC database they precisely match those of every other one of these RICO enterprise participants.
Nancy Doonan and her husband were in the James O’Keefe videos claiming that they never made the volume of transactions shown in the FEC database.
How is this still going on? Why is this not being stopped by the FEC- Federal Elections Commission?
Because the FEC is also compromised… Right from the very top. Earlier this year Joe Biden made a new appointment to be the Chairperson of the Federal Elections commission. This appointee was none other than Dara Lidenbaum. You might remember her as the chief legal counsel for the Stacey Abrams Georgia Group called Fair Fight that played a major role in the 2000 mules movie and played a key role in helping Raphael Warnock raise money and win his election.
So don’t worry the big legal brain behind the Stacey Abrams ballot harvesting and money laundering RICO enterprise is on the job…As the newest chairperson at the FEC…
Perhaps, if those who were entrusted to safeguard our elections had a shred of intellectual honesty or integrity this might be a higher priority for the FEC.
Taken as a single instance, George Yourke’s complaint may seem insignificant. However, when the ActBlue money laundering election fraud RICO enterprise is truly examined we can see how these small $1-$10 contributions really add up and affect the outcome of elections…
Isn’t that right Joe…
Who do you think benefitted the most from the “most sophisticated election fraud machine” in history?
Who do you think benefitted the most from the “largest scale highly sophisticated” money laundering RICO enterprise in history?
Your subscription not only gives you first access to this information, but helps keep Stone Cold Truth alive.
Already subscribed and want to support Stone Cold Truth further, while getting more eyes on this important information? You can gift a subscription to a friend, or simply donate free subscriptions, which are given to subscribers who cannot afford to make a paid subscription.




































Letitia James is a fascist commissar. Escape from New York before it turns into a favela: https://yuribezmenov.substack.com/p/escapefromnewyork
BLAHTISHAFA JAMES= COMMUNIST FOOL WELL GOSH DARN THAT THERE JUST DESCRIBED THE WHOLE DEMONICRAT IZLAMOCRAT USURPER TERRORIST REGIME, NOT THE SQUAD THE SQUAT SQUATERS RIGHTS IN THAT REGIME